
かつて、ロングテールという考え方がネットのeコマースの世界で大きな役割を果たし始めたころ、私のようなマイナー志向の人間にとっては、それはそれはありがたいことに感じたものでした。
ところが、そのロングテールが本来の機能を果たしているのか、疑問に思う事例をネット上で多々見かけるようになりました。
今回はそんなネットショッピングにまつわるお話、とりわけネット広告の問題についてです。
先ず、本題に入る前にロングテールという言葉について、勿論すでにご存じの方もおられるでしょうが、分からない方のためにここで簡単に説明しておきます。
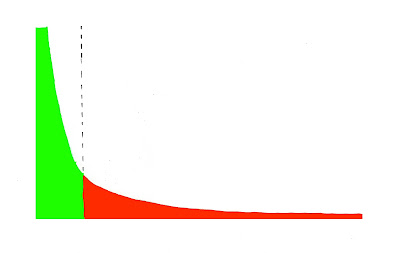
図1のグラフですが縦軸を売り上げ、横軸を商品構成とした場合に、売り上げと商品構成の関係は図のような右肩下りの曲線を描きます。
![]() |
| 図1 ロングテール図 |
これは左側のグリーンの部分がヒット商品の売り上げであり、右側レッド部分がマイナー商品の売り上げを表しています。
そして右側の長く伸びたレッドの部分が恐竜のシッポのように見えることから「ロングテール」と呼ばれています。
従来型の実店舗の場合、この左側の20%の商品で全体の売り上げの80%を確保できていれば、まずまずの売り上げ実績と考えられ、健全な経営と判断されていました。
そして、マーケティングの世界ではこの考え方がそれまでの通説だったようです。
これがいわゆる2:8の法則(パレートの法則)というもので、「上位の2割で全体の8割を稼ぐ」というものです。
この法則はロングテールを考える上でベースになるのですが、この他にも、ネットにおけるサイトとアクセス数の関係や労働力と成果の関係など、あらゆる関係に当てはまる法則でビジネスの世界では経済動向やマーケティングの分析などに使われているようです。
そんな中、この2:8の法則という限界を打ち破り、ロングテールの部分に特に注目し大きな成果をあげたのが、ご存知Amazonに代表されるネットショップ大手だった訳です。
実店舗では物理的に不可能だったマイナー商品を、ネットの仮想店舗に陳列することにより大きな成果に結びつけたのです。
あまり売れない商品でも多くの商品を長期間取り扱っていれば実績に結びつくという現象です。
つまり、これまでの限界を打ち破り、マイナー商品でも商売(勝負)ができるということをネットの世界で証明した訳です。
購買層の薄いマニアックな商品を多種多様に取り揃えておくことは、スペースが限られた実店舗では無理であり、よって最近では売れ筋商品しか置かないという実店舗が増えたのもこうした事情を知ると頷ける話です。
そんな時代の流れの中で、私のようにマイナー志向でへそ曲がりな顧客にとっては、eコマースにおけるロングテールという考え方はとても魅力的だった訳です。
ちなみに、eコマースとは電子商取引のことです。
たくさんの時間をかけて探した挙句、その店には目的のものはなく、取り寄せを依頼し、多くの日数を費してようやく手にできる本やCDが、ネットの世界では検索で容易に見つけることができ数日で自宅に届くのですから。
これもすべてロングテールという考え方、仕組みのお陰と感謝していたのですが、最近、どうもその様子がおかしいのです。
その代表例が、これから述べる二つの現象です。
先ず一つ目は、あまり知られていないCD(ロングテールの部分に該当するような)などをネットショッピングで注文した場合、商品の到着までに多くの日数を要するようになったことです。
これまでに3~4か月待たされたこともありましたが、それでも商品をゲットできればまだ良い方で、待たされた挙句「廃盤でした」なんてことも実際にありました。
この原因はどこにあるのか?
私は単純にサイトのメンテナンスが充分に果たされていなかったことが最大の要因と思っています。
つまり廃盤商品の洗い出しやその表示、排除、また品薄商品に対するその旨の表示などが充分になされていなかったからだと思います。
依って、入手困難な商品を「イチ押し商品欄」に堂々と掲載してしまうといった失態を犯してしまうのだと思います。
これは我々ユーザーにとって甚だ迷惑な話です。
もうひとつは、既に購入済の商品にも拘わらず、お薦め商品コーナーにしつこく掲載してくる現象です。
これは恐らく昨今のネット広告の仕組みが大きく影響しているのではないかと思われます。
顧客が検索エンジンで検索したキーワードに反応してタイムリーな広告を出せる仕組み、いわゆるグーグルの「インタレストターゲティング」やヤフーの「サーチターゲティング」などの仕組みがそれです。
これらは一見便利な機能に思われますが、購入済商品を除くことができないというシステムの不充分さがもたらす弊害と考えられます。
こちらは我々にとって直接的な害はありませんが、如何にも機械的なところがバレバレで気になります。
以上のように、ネットショッピングで気になる現象は多々ある訳ですが、いずれにしてもショッピングサイト側の管理に問題があるように感じます。
これでもか、これでもかと大量の商品(情報)を一方的に押し付けるのではなく、eコマース運営者側にはわかり易いサイト画面構成と洗練された商品、正確な情報を伝えるような工夫と努力をお願いしたいところです。
Google AdSenseやA8.netなどのアフィリエイトサービスプロバイダー(ASP)を利用している当サイトとしては、心苦しい部分はありますが、自省をこめて指摘したいと思います。
